Minggu, 5 Oktober 2025

Virus Corona

Daftar Sebaran Kasus Covid-19 di Indonesia, 3 Agustus 2020: Tambahan Kasus Terbanyak di Jawa Timur

Pemerintah kembali memberikan update perkembangan pandemi COVID-19 atau virus corona di Indonesia.

Editor: Lita Andari Susanti
https://www.freepik.com/
Daftar Sebaran Kasus Covid-19 di Indonesia, 3 Agustus 2020: Tambahan Kasus Terbanyak di Jawa Timur 

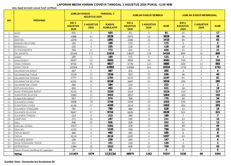
TRIBUNNEWS.COM - Berikut update terbaru data sebaran virus corona di Indonesia pada Senin (3/8/2020).

Pemerintah kembali memberikan update perkembangan pandemi COVID-19 atau virus corona di Indonesia.

Berdasarkan laporan data harian yang dirilis Kementerian Kesehatan, per Senin (3/8/2020) pukul 12.00 WIB, total kasus konfirmasi positif ialah sebanyak 113.134 kasus.

Angka tersebut diperoleh setelah ditemukannya 1.679 kasus baru dalam 24 jam terakhir yang tersebar di 24 provinsi.

 Update Covid-19 Indonesia Senin 3 Agustus 2020: Naik 1.679 Kasus Baru, Total Mencapai 113.134 Kasus

 Update WNI Positif Covid-19 di Luar Negeri Senin, 3 Agustus 2020: Tambahan Kasus di Kuwait dan Sudan

Sampai dengan hari ini, sebanyak 70.237 pasien telah dinyatakan sembuh di samping adanya 5.302 kematian.

Sementara itu, kasus COVID-19 di Tanah Air diketahui tersebar di 34 provinsi.

Jawa Timur yang mencatat 22.982 kasus menduduki peringkat satu sebagai provinsi dengan kasus terbanyak.

Berikutnya DKI Jakarta menyusul di urutan dua dengan 22.616 kasus.

tribunnews
Data kasus virus corona di Indonesia per Senin, 3 Agustus 2020 (Twitter BNPB)

 Video Anji dengan Hadi Pranoto yang Klaim Obat Covid-19 Dihapus YouTube

 Achmad Yurianto Buka Suara Soal Klaim Obat Covid-19 Hadi Pranoto: Ini Pembodohan

Adapun rincian data kasus untuk setiap provinsi adalah sebagai berikut.

1. Aceh: 433

Baca selengkapnya>>>>>>>>>>>>>>>>>

Sumber: Tribun Palu
Rekomendasi untuk Anda
AA

Berita Terkini

© 2025 TribunNews.com, a subsidiary of KG Media. All Right Reserved